728x90
반응형

개요
러닝 커브(Learning Curve)는 반복 작업을 수행할수록 개인 또는 조직의 수행 시간, 오류율, 비용이 감소하며 생산성과 효율성이 향상된다는 경험 기반의 이론 모델입니다. 산업공학, 교육학, UX 디자인, 머신러닝 등 다양한 분야에서 학습 속도와 퍼포먼스 예측을 위한 중요한 도구로 활용됩니다.
1. 개념 및 정의
| 항목 | 설명 |
| 정의 | 동일 작업을 반복 수행할수록 소요 시간, 비용, 오류율이 일정 비율로 감소한다는 이론 |
| 기본 원리 | 경험의 축적 → 작업 숙련도 향상 → 성능 개선 |
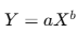
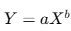
| 수식 형태 | (Y: 작업 시간, X: 반복 횟수, a: 초회 작업 시간, b: 학습률 계수) |
학습 곡선은 누적 경험량에 따라 성능이 어떻게 향상되는지를 정량적으로 설명합니다.
2. 유형 및 그래프 형태
| 유형 | 설명 | 특징 |
| 전형적 S-커브 | 느린 시작 → 급속 향상 → 한계 도달 | 대부분의 실제 학습 상황에서 관찰됨 |
| 지수형 | 급격한 초반 향상 후 완만해짐 | 기계학습, 반복 테스트 등에서 활용 |
| 로그형 | 지속 향상되지만 증가율 둔화 | 인지 학습, 장기 반복 작업에 적합 |
그래프의 기울기(learning rate)는 학습 속도를, 포화점은 한계 생산성을 의미합니다.
3. 활용 분야
| 분야 | 활용 예시 | 기대 효과 |
| 제조 산업 | 조립 작업 반복 시 작업 시간 감소 분석 | 생산 계획 및 인건비 예측 정밀도 향상 |
| 교육/훈련 | 학생의 학습 속도 및 진도 예측 | 커리큘럼 최적화, 개별 맞춤형 학습 설계 |
| UX/UI 설계 | 신규 기능 사용자의 습득 속도 분석 | 기능 복잡도 개선 및 온보딩 전략 수립 |
| 머신러닝 | 모델 학습 수렴 상태 시각화 | 과적합 탐지 및 학습률 튜닝 |
러닝 커브는 학습 효율 개선과 리소스 투자 전략을 수립하는 데 효과적입니다.
4. 주요 요소와 해석 방법
| 요소 | 설명 | 분석 기준 |
| 초기 작업 시간(a) | 첫 수행 시 걸린 시간 또는 비용 | 교육 시간, 초기 오류율 측정 기준 |
| 학습율(learning rate) | 반복 횟수 당 성능 향상 속도 | 보통 70 |
| 생산성 포화점 | 더 이상 성능 향상이 어려운 지점 | 자동화 전환 시점 판단 기준 |
곡선의 각 구간 해석은 전략적 전환 포인트를 결정하는 데 중요합니다.
5. 장점 및 한계
| 항목 | 장점 | 한계 |
| 정량적 예측 가능 | 반복 횟수로 생산성 및 학습 속도 추정 가능 | 정성적 요인(피로도, 동기 등)은 미반영 |
| 리소스 계획에 유용 | 교육/훈련 투자 대비 효과 예측 가능 | 환경 변화 시 곡선 형태 왜곡 가능 |
| 경영 전략 수립에 유리 | 자동화/아웃소싱 타이밍 결정 기반 제공 | 장기 반복 시 한계 수익 감소 발생 |
현실에선 종종 중단점, 역학습 구간이 포함된 복합 커브 형태로 나타나기도 합니다.
6. 확장 개념 및 관련 이론
| 개념 | 설명 | 관련 이론 |
| Experience Curve | 단순 시간 → 전체 비용/품질 포함 확장 | 보스턴컨설팅그룹(BCG) 이론 기반 |
| Forgetting Curve | 시간이 지남에 따라 학습 내용이 감소 | 에빙하우스의 망각 곡선 이론 |
| Transfer of Learning | A 작업 숙련도가 B 작업 학습에 영향 | 전이 효과 분석, 크로스 트레이닝 설계 |
러닝 커브는 다양한 조직/학습 이론과 통합적으로 활용될 수 있습니다.
7. 결론
러닝 커브는 반복 작업 및 학습 과정을 정량적으로 설명하는 핵심 분석 도구입니다. 교육 훈련, UX 개선, 머신러닝 수렴 분석, 생산성 향상 전략 등 다양한 분야에서 적용 가능하며, 특히 숙련도 향상 속도에 기반한 경영 의사결정의 기준점으로 유용합니다. 실측 데이터와 함께 활용하면 조직 운영의 효율성을 극대화할 수 있습니다.
728x90
반응형
'Topic' 카테고리의 다른 글
| Hoshin Kanri X-Matrix (1) | 2025.06.13 |
|---|---|
| Artificial Super Intelligence (ASI) (1) | 2025.06.13 |
| Keystroke-Level Model (KLM) (1) | 2025.06.13 |
| Knowledge Distillation (3) | 2025.06.13 |
| Data Stewardship Matrix (1) | 2025.06.13 |
